Une demande légitime
Périodiquement, je dois répondre à une demande de précisions et de documents sur deux aspects de la consommation d'alcool chez les usagers de la route :
- quelle est la relation entre l'alcool absorbé et le niveau d'alcoolémie atteint, en tenant compte de facteurs tels que le type de boisson alcoolique absorbée, le poids de la personne, son sexe et le délai qui s'est écoulé entre le moment de l'absorption et celui de la mesure ? L'objectif est de produire des documents permettant aux usagers de mieux situer leur prise de risque de se trouver dans l'illégalité.
- quels exemples peut-on donner de la réduction de capacités physiologiques sous l'influence de l'alcool, notamment le temps de réaction ou les modifications de la perception visuelle ?
J'ai des difficultés à répondre utilement à ces questions car les variations des résultats observés ne permettent pas d'avoir une réponse simple. Il est plus pertinent de dire que tout usager qui doit prendre la route ne doit jamais dépasser une consommation de plus de deux "unités" de boissons alcooliques, une unité étant définie comme un volume contenant environ 10 grammes d'alcool (la densité de l'alcool est de 0,8, ce qui signifie qu'un litre de vin à 12°5 contient 100 grammes d'alcool et un verre de 10 centilitres 10 grammes. un verre de 25 cl de bière à 5° contient la même quantité d'alcool pur).Si la conduite se situe à distance de la fin de la consommation, il faut envisager un délai d'environ une heure pour abaisser son alcoolémie de 0,15 gramme/litre, avec des variations individuelles en fonction du contexte qui peuvent faire varie cette valeur entre 0,10 et 0,20 g/l.
Les descriptions précises de ces faits sont disponibles dans la littérature médicale et il est utile de commencer par reproduire des exemples concrets produits par des chercheurs reconnus dans ce domaine. Dans un second temps, je reproduirai des documents établis dans un but de vulgarisation.
Exemples de mesures
Les graphiques ci-dessous illustrent l'évolution de l'alcoolémie chez deux consommateurs. La quantité d'alcool absorbée est la même dans les quatre essais (0,8 gramme d'alcool par kilo de poids), deux fois à jeun (empty stomach) et deux fois avec un repas qui était identique pour les deux personnes (full stomach). Les taux les plus élevés qui ont été atteints ne sont pas identiques alors que ces deux hommes pesaient exactement le même poids (attention, les anglo-saxons ont l'habitude d'exprimer l'alcoolémie en milligrammes par décilitre de sang, la valeur 100 correspond à 1 gramme/litre).

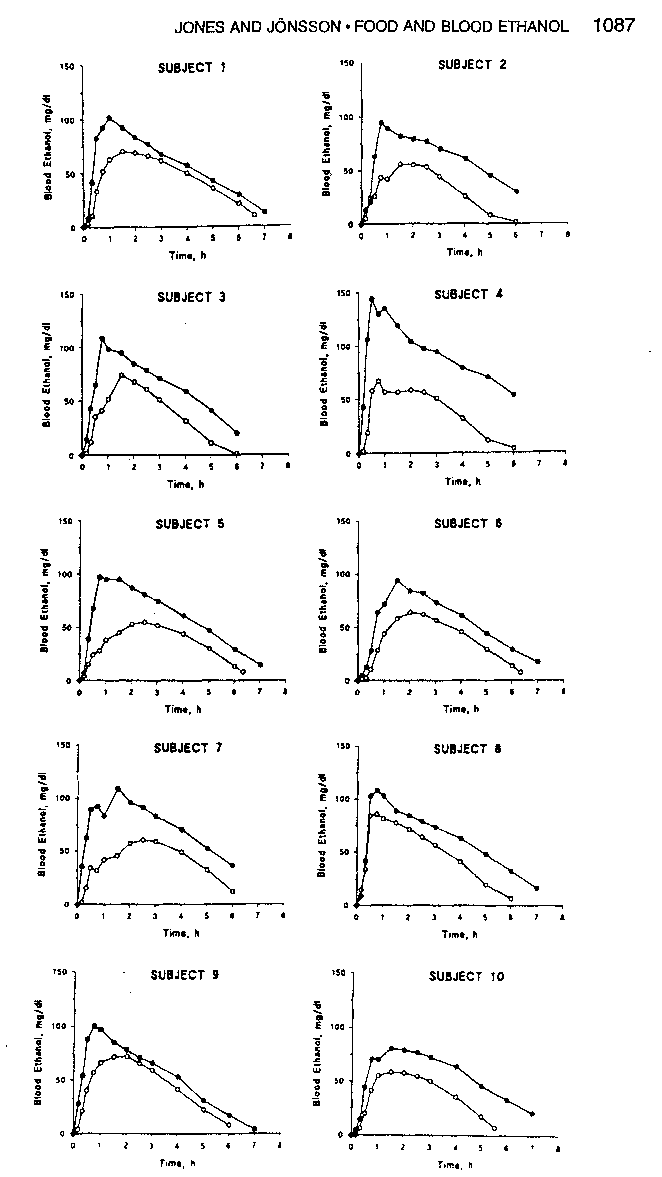
Il est utile de mesurer ce type de résultat sur des séries importantes de volontaires pour avoir une approche statistique de la relation entre quantité d'alcool absorbée et alcoolémie. Le graphique suivant (Jones et Jonsson, journal of forensic science, 1994) représente l'évolution de l'alcoolémie chez 10 sujets consommant 0,80 g d'alcool par kg de poids le matin à jeun, en 30 minutes. Une seconde série de mesures est effectuée une semaine après, la même quantité d'alcool est absorbée immédiatement après un petit déjeuner standardisé. Le constat est simple, les variations peuvent être très importantes et proscrivent toutes les approches simplifiant à l'excès la relation entre l'alcool absorbé et le niveau d'alcoolémie mesuré.

Les graphiques reproduits ci-dessous décrivent les différences observées chez neuf personnes qui ont absorbé au cours de trois expérimentation séparées par plusieurs jours, 0,51 g/kg d'alcool, puis 0,68 g/kg et enfin 0,85 g/kg. Les alcoolémies sont exprimées en mg/ml, (les valeurs sont donc identiques à notre expression habituelle en grammmes/litre). Pour chacune de ces personnes, l'âge, le poids et la quantité de wisky ingéré (en millilitres) sont indiqués. Les variations interindividuelles sont là encore considérables.

Comment ces résultats sont-ils présentés aux professionnels de santé et au public ?
La première étape consiste à indiquer les quantités d'alcool contenues dans un volume donné d'une boisson alcoolique. Dans son numéro du 26 septembre 1994, le Quotidien du médecin rappelait que "Au café, les volumes de boissons alcooliques est standardisée de façon que le volume d'alcool pur soit du même ordre de grandeur :
- 1/2 de bière = 25 cl soit 10g d'alcool
- un ballon de vin à 11° = 13 cl soit 11,4 g d'alcool
- un whisky = 4 cl soit 12 g d'alcool
- un pastis = 2,5 cl soit 9 g d'alcool
L'étape suivante consiste à tenter de donner des indications numériques sur le taux d'alcoolémie attendu une heure après l'absorption. Dans l'article précité, deux types d'évaluation étaient proposées. Un tableau et une formule.
| boissons | volume | a jeun | à jeun | avec un repas | avec un repas |
| homme 75 kg | femme 55 kg | homme 75 kg | femme 55 kg | ||
| bière 5° | 1/2 litre | 0.29 | 0.43 | 0.19 | 0.28 |
| vin 11° | 1/2 litre | 0.83 | 1.24 | 0.55 | 0.82 |
| Pastis 45° | 20 cm3 | 0.13 | 0.19 | 0.08 | 0.12 |
| whisky 44° | 40 cm3 | 0.36 | 0.54 | 0.24 | 0.36 |
| champagne | 1/2 bouteille | 0.68 | 1.02 | 0.46 | 0.89 |
La formule proposée estime à 0,20 g/l l'alcoolémie d'un homme de 70 kg consommant 10 g d'alcool pur en utilisant un "facteur de diffusion" égal à 0,7. L'hypothèse est que la densité d'un humain est proche de 1, et que si 10 g d'alcool diffusent dans 70 litres x 0,7, soit dans 49 litres, 10 divisé par 49 est égal à 0,2 g/l. Pour une femme, le coefficient utilisé pour la diffusion est de 0,6 et pour un poids de 50 kg l'alcoolémie serait de 10 divisé par 30 soit 0,33 g/l.
Le problème de la vitesse d'élimination de l'alcool étant particulièrement importante pour évaluer le temps d'attente nécessaire pour qu'une alcoolémie s'abaisse au dessous du taux limite autorisé, de nombreuses courbes simplifiées ont été proposées pour décrire cette "pente". Habituellement les schémas produits indiquent une pente plus faible que la moyenne pour éviter de donner une confiance excessive aux utilisateurs. Cette moyenne est de 0,15 g/l en une heure, avec un minimum proche de 0,10 g/l et un maximum de 0,20 g/l.
Le moment du pic maximal d'alcoolémie est peu influencé par l'alimentation (alors que la valeur maximale atteinte est très nettement plus faible). Des mesures sur de grandes séries indiquent un pic d'alcoolémie environ 36 minutes après la fin de l'absorption, avec une étendue allant de 15 à 75 minutes.

Certaines tentatives de mise en évidence de ces variations considérables de l'évolution de l'alcoolémie en fonction du mode d'administration ont un caractère schématique un peu caricatural, mais elles ont l'avantage de bien mettre en évidence l'importance de la chronologie de l'absorption de l'alcool. Le graphique suivant est extrait d'un très bon document de vulgarisation produit par une équipe Toulousaine sous la direction de J.Planques en 1972 : Alcool et accidents de la route (à une époque où une consommation de deux litres de vin n'était pas un fait exceptionnel !).

Les mesures de l'altération des capacités
Le problème posé par l'usage des résultats des tests de comportement en fonction de l'alcoolisation est d'une autre nature. Il est facile de produire des courbes exprimant des modifications des performances en fonction de l'alcoolémie, mais l'interprétation de l'effet de ces altérations est difficile. Un usager peut être conscient d'avoir des capacités réduites par une consommation d'alcool et se placer dans un niveau de prise de risque plus faible que ce qu'il a l'habitude de tolérer (par exemple il va nettement moins vite), un autre peut à l'opposé être désinhibé par l'alcool et adopter un comportement plus dangereux (par exemple effectuer des dépassements sans visibilité suffisante). Ces remarques étant faites, il est facile de constater que de très nombreux tests peuvent être perturbés par la prise d'alcool.
En 1994, S.D. Ferrara a recensé 38 publications décrivant les résultats d'altérations de tests très divers allant du test visuel ou auditif simple jusqu'aux analyses les plus fines sur des simulateurs de conduite (Low blood allcohol concentrations and driving impairment - a review of experimental studies and international legislation - International journal of Legal Medicine vol 106 p.169-177). Les enseignements de ces expérimentations vont dans le même sens. Des altérations minimes mais statistiquement significatives apparaissent pour des valeurs d'alcoolémies faibles, inférieures aux seuils légaux fixés dans la majorité des pays.La majorité de ces expériences mettent en évidence une altération plus importante de l'attention diffuse (divided attention) que de l'attention centrée sur une seule source d'information (concentrated attention). Le graphique suivant est extrait d'un rapport de l'université de Californie pour la NHTSA (DOT HS 800 570) : The effects of alcohol on performance in a driving simulator of alcoholics and social drinkers. L'étude a été faite par Herbert Moskowitz.

La notion de risque relatif appliqué à la conduite sous l'influence de l'alcool
A mes yeux la pédagogie utilisant la notion de risque relatif est la mieux adaptée au problème posé par la conduite sous l'influence de l'alcool. La notion de risque est identique à celle de chance, tout le monde comprend ce qui signifie deux fois plus de chance ou deux fois plus de risque de voir survenir un événement dans une situation comparativement à une autre. Celui qui achète dix billets de loterie a dix fois plus de chance de gagner que celui qui n'en achète qu'un ! Dire que le conducteur qui a une alcoolémie proche du seuil légal de 0,50 g/l a en moyenne deux fois plus de risque de provoquer un accident mortel que celui qui a une alcoolémie nulle est un information compréhensible. Depuis l'étude de Borkenstein à Grand Rapids en 1964, comparant un groupe d'usagers accidentés dont l'alcoolémie a été mesurée à un groupe de témoins passant sur la même voie à la même heure et le même jour de la semaine (étude dite "cas témoins") plusieurs études reposant sur la comparaison entre des accidentées et un groupe témoin représentatif de la circulation ont été produites. Le tableau suivant exploite les études produites par l'Organisme national de sécurité routière (ONSER), devenu l'INRETS. Deux risques relatifs sont calculés, l'un en comparant les classes d'alcoolémies des accidentés dépassant 0,50 g/l aux témoins dont l'alcoolémie est inférieure à 0,50 g/l et l'autre en prenant comme référence les alcoolémies nulles. La différence met en évidence le fait qu'une alcoolémie non nulle inférieure à 0,50 g/l accroît le risque d'être impliqué dans un accident.
j'ai utilisé également ces valeurs de l'ONSER comme groupe témoin pour calculer des risques relatifs approchés avec l'ensemble des résultats des prises de sang réalisées en France dans les accidents mortels. Le graphique suivant concerne l'année 1977

On constate des différences mineures entre ces calculs de risque relatif qui s'expliquent par la prise en compte d'années différentes, avec une évolution du taux de prises de sang dans les accidents mortels. La proportion de cas où l'alcool est connu s'accroît et cette croissance se fait principalement chez les tués et non chez les autres impliqués dans un accident mortel. En outre je prenais comme référence l'alcoolémie de l'usager considéré comme responsable présumé de l'accident en fonction du code de la route (par exemple l'usager perdant le contrôle de son véhicule et allant heurter un autre usager qui a été tué dans l'accident) et non les conducteurs tués pris dans leur ensemble. Si l'on compare les deux groupes avec une alcoolémie entre 0,50 et 0,79 dans l'étude de l'INRETS et entre 0,4 et 0,79 dans la mienne, on constate que le risque est multiplié par 2,5 dans cette dernière et par 1,55 ou 3,1 dans l'étude de l'INRETS suivant le groupe témoin utilisé. Ces résultats sont cohérents.
Conclusions
La compréhension et la quantification précise du risque lié à la conduite sous l'influence de l'alcool sont acquises depuis bientôt cinquante ans. Cela ne signifie pas que nous n'avons plus de progrès à accomplir dans ce domaine, notamment dans l'évaluation du risque en fonction des facteurs associés à une alcoolémie donnée. Une étude américaine récente à montré que le risque d'accident chez les jeunes conducteurs masculins apparaît pour niveau d'alcoolémie plus faible que chez les jeunes filles, probablement du fait d'une meilleure perception de leur état modifié chez ces dernières et une adaptation de leur comportement.Les évolutions récentes observées depuis la réforme de la politique de sécurité routière initiée en 2002 nos ont permis de constater des faits particulièrement intéressants.
Nous pouvons suivre l’évolution des indicateurs d’alcoolisation publiés par l’ONISR chez les usagers impliqués dans des accidents au cours de la période 2002/2008, pour évaluer les éventuels progrès réalisés dans ce domaine. En 2002, 29,7% des accidents mortels avec un taux d’alcoolémie connu permettaient d’observer une valeur dépassant le taux légal chez un des usagers impliqués (1158/3899). En 2008 cette proportion était de 27,9% (878/3151). La proportion d’alcoolémies connues a augmenté entre 2002 et 2008 (comme au cours des années précédentes), mais nous n’avons pas d’indication que cet accroissement de la qualité de la recherche d’un état d’imprégnation alcoolique ait introduit un biais susceptible d’abaisser cette proportion d’alcoolémies dépassant le seuil légal. A l’opposé, nous savons que l’accroissement de la proportion de cas où la recherche de l’alcool a abouti se fait dans le groupe qui imposait une recherche par prise de sang, l’éthylotest étant impossible. Dans un accident mortel avec plusieurs impliqués il y a des usagers indemnes qui peuvent souffler dans l’appareil et des blessés ou des tués qui ne peuvent pas le faire. Ce groupe des tués et des blessés graves est plus souvent sous l’influence de l’alcool que le groupe des indemnes. Il est donc possible d’affirmer que le nombre de tués sur les routes a été réduit de 44,8% entre 2002 et 2008, alors que la proportion d’accidents impliquant un usager présentant un taux illégal d’alcoolémie s’est réduite dans des proportions faibles mais statistiquement significatives (1,8 point de pourcentage en moins de 29,7% à 27,9%, soit 6% de réduction).
L’hypothèse la plus vraisemblable est que l’exposition au risque alcool (nombre de kilomètres parcourus avec un taux d’alcoolémie dépassant le seuil légal) s’est peu modifiée pendant cette période. Autrement dit la réduction de 6% de la proportion d’alcoolémie à un taux illicite dans un nombre d’accidents qui a été réduit de 45% signifie que la plus grande part de cette diminution est attribuable à l’évolution de facteurs de risque autres que l’alcool.